- Категория: Пресс-центр
- Просмотров: 721
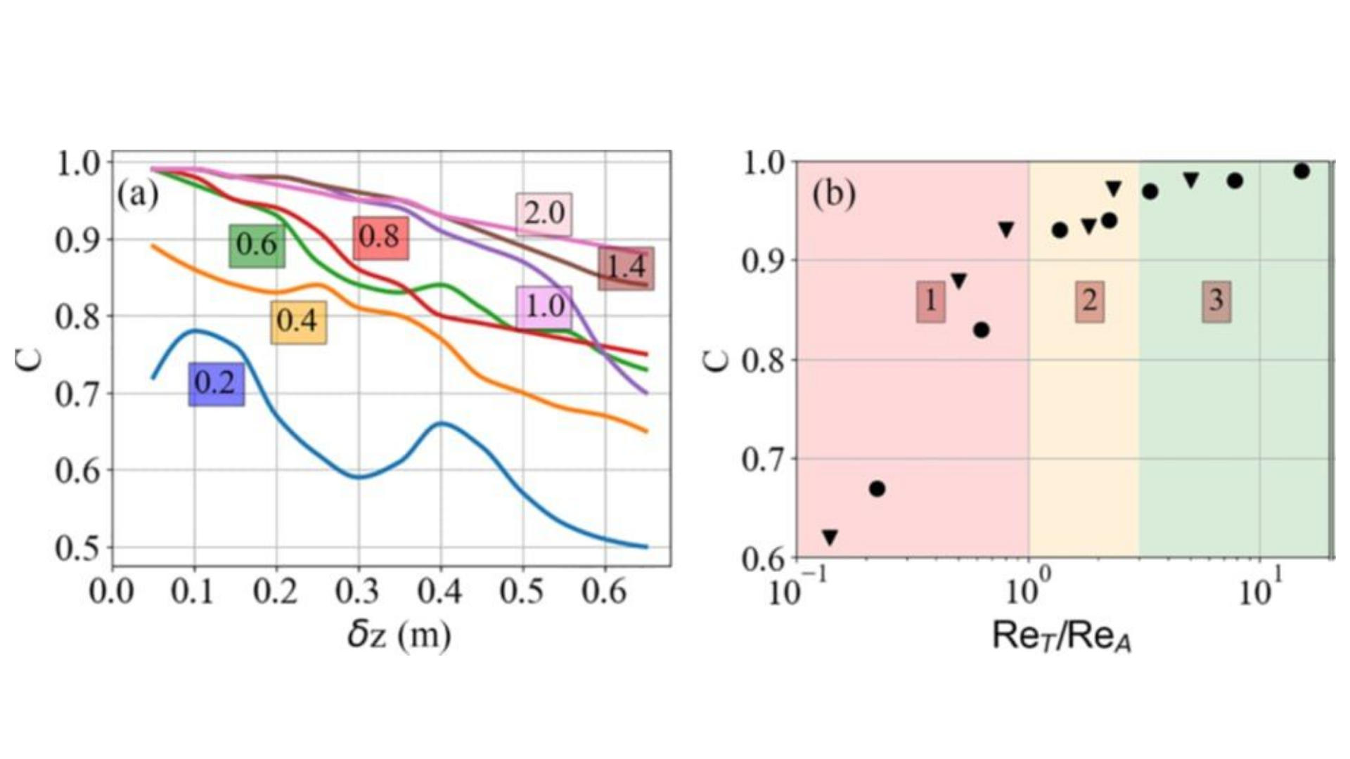
Турбулентность - это кажущееся хаотичным движение жидкостей и газов - фундаментальное явление нашей Вселенной.
Подробнее: Эффект бабочки: как слабое воздействие управляет гигантскими потоками
- Категория: Страница памяти
- Просмотров: 450
С глубоким прискорбием сообщаем, что на 78 году жизни 19 декабря 2025 г. ушел из жизни выдающийся ученый, доктор химических наук, профессор — Георгий Георгиевич Абашев. В этот тяжёлый момент хочется не просто сказать прощальные слова, но и по‑настоящему осмыслить масштаб личности, которую мы потеряли.
Подробнее: 19 декабря ушел из жизни доктор химических наук Абашев Георгий Георгиевич
- Категория: Пресс-центр
- Просмотров: 635
В музее пермских древностей 13 декабря прошла вторая лекция научного лектория “Факультет горных искусств”. В ходе неё слушатели погрузились в тайны истории горных заводов Урала и узнали, как благодаря самоотверженности первых исследователей сформировались основы целой научной отрасли — рудничной аэрологии.
Подробнее: “Факультет горных искусств” Горные заводы Урала. Дыхание шахт. Рудничная аэрология.
- Категория: Пресс-центр
- Просмотров: 626
Научные сотрудники ИМСС УрО РАН (филиал ПФИЦ УрО РАН) Илья Колесниченко и Владимир Озёрных опубликовали в журнале Американского физического общества Physical Review Fluids статью «Взаимодействие противоположно направленных азимутального и осевого потоков жидкого металла в цилиндрическом канале».
Подробнее: Уединенный вихрь для измерения скорости потока жидкого металла
- Категория: Пресс-центр
- Просмотров: 400
9 декабря 2025 года в Кудымкаре состоялась торжественная церемония закрытия мероприятия «100-летие Коми-Пермяцкого округа».
- Категория: Пресс-центр
- Просмотров: 432
- Категория: Пресс-центр
- Просмотров: 423
Российский научный фонд поддержал проект н.с. лаборатории физических основ прочности ИМСС УрО РАН (филиал ПФИЦ УрО РАН), к.ф-м.н Банникова Михаила Владимировича «Разработка подходов для оценки поврежденности композитных материалов и стадийности перехода к разрушению при комплексных видах нагружения на основе методов корреляции цифровых изображений и рентгеновской томографии».
Подробнее: Исследования стадийности разрушения композитных материалов для оценки их прочности
- Категория: Пресс-центр
- Просмотров: 444
Законодательное Собрание Пермского края утвердило список лауреатов региональной премии в области науки за этот год.
Подробнее: Ученые ПФИЦ УрО РАН стали лауреатами премии Пермского края в области науки за 2025 год
- Категория: Пресс-центр
- Просмотров: 435
Первая лекция из цикла научного лектория “Факультет горных искусств” состоялась 29 ноября. Научный сотрудник лаборатории геологии месторождений полезных ископаемых ГИ УрО РАН Данил Трапезников посвятил слушателей в тонкости добычи соли в Пермском крае и за его пределами.
- Категория: Заседания Объединенного ученого совета
- Просмотров: 345
26 декабря 2025 года (пятница) в 10:00 состоится заседание Объединенного ученого совета ПФИЦ УрО РАН.









